昇思25天学习打卡营第20天|RNN实现情感分类
我们使用最后的一个时间步的隐状态作为输入句子的编码特征,送入下一层。为了方便数据集和预训练词向量的下载,首先设计数据下载模块,实现可视化下载流程,并保存至指定路径。针对本节情感分类问题的特性,即预测。即使用模型的预测结果和测试集的正确标签进行对比,求出预测的准确率。数据集进行了分词处理,但不满足构造训练数据的需要,因此要对其进行额外的预处理。最后我们设计一个预测函数,实现开头描述的效果,输入一句评
1. 学习内容复盘
概述
情感分类是自然语言处理中的经典任务,是典型的分类问题。本节使用MindSpore实现一个基于RNN网络的情感分类模型,实现如下的效果:
输入: This film is terrible
正确标签: Negative
预测标签: Negative
输入: This film is great
正确标签: Positive
预测标签: Positive
数据准备
本节使用情感分类的经典数据集IMDB影评数据集,数据集包含Positive和Negative两类,下面为其样例:
|
Review |
Label |
|
"Quitting" may be as much about exiting a pre-ordained identity as about drug withdrawal. As a rural guy coming to Beijing, class and success must have struck this young artist face on as an appeal to separate from his roots and far surpass his peasant parents' acting success. Troubles arise, however, when the new man is too new, when it demands too big a departure from family, history, nature, and personal identity. The ensuing splits, and confusion between the imaginary and the real and the dissonance between the ordinary and the heroic are the stuff of a gut check on the one hand or a complete escape from self on the other. |
Negative |
|
This movie is amazing because the fact that the real people portray themselves and their real life experience and do such a good job it's like they're almost living the past over again. Jia Hongsheng plays himself an actor who quit everything except music and drugs struggling with depression and searching for the meaning of life while being angry at everyone especially the people who care for him most. |
Positive |
此外,需要使用预训练词向量对自然语言单词进行编码,以获取文本的语义特征,本节选取Glove词向量作为Embedding。
数据下载模块
为了方便数据集和预训练词向量的下载,首先设计数据下载模块,实现可视化下载流程,并保存至指定路径。数据下载模块使用requests库进行http请求,并通过tqdm库对下载百分比进行可视化。此外针对下载安全性,使用IO的方式下载临时文件,而后保存至指定的路径并返回。
tqdm和requests库需手动安装,命令如下:pip install tqdm requests
加载IMDB数据集
下载好的IMDB数据集为tar.gz文件,我们使用Python的tarfile库对其进行读取,并将所有数据和标签分别进行存放。原始的IMDB数据集解压目录如下:
├── aclImdb
│ ├── imdbEr.txt
│ ├── imdb.vocab
│ ├── README
│ ├── test
│ └── train
│ ├── neg
│ ├── pos
...
数据集已分割为train和test两部分,且每部分包含neg和pos两个分类的文件夹,因此需分别train和test进行读取并处理数据和标签。
加载预训练词向量
预训练词向量是对输入单词的数值化表示,通过nn.Embedding层,采用查表的方式,输入单词对应词表中的index,获得对应的表达向量。 因此进行模型构造前,需要将Embedding层所需的词向量和词表进行构造。这里我们使用Glove(Global Vectors for Word Representation)这种经典的预训练词向量, 其数据格式如下:
|
Word |
Vector |
|
the |
0.418 0.24968 -0.41242 0.1217 0.34527 -0.044457 -0.49688 -0.17862 -0.00066023 ... |
|
, |
0.013441 0.23682 -0.16899 0.40951 0.63812 0.47709 -0.42852 -0.55641 -0.364 ... |
我们直接使用第一列的单词作为词表,使用dataset.text.Vocab将其按顺序加载;同时读取每一行的Vector并转为numpy.array,用于nn.Embedding加载权重使用。
数据集预处理
通过加载器加载的IMDB数据集进行了分词处理,但不满足构造训练数据的需要,因此要对其进行额外的预处理。其中包含的预处理如下:
- 通过Vocab将所有的Token处理为index id。
- 将文本序列统一长度,不足的使用
<pad>补齐,超出的进行截断。
这里我们使用mindspore.dataset中提供的接口进行预处理操作。这里使用到的接口均为MindSpore的高性能数据引擎设计,每个接口对应操作视作数据流水线的一部分,详情请参考MindSpore数据引擎。 首先针对token到index id的查表操作,使用text.Lookup接口,将前文构造的词表加载,并指定unknown_token。其次为文本序列统一长度操作,使用PadEnd接口,此接口定义最大长度和补齐值(pad_value),这里我们取最大长度为500,填充值对应词表中<pad>的index id。
除了对数据集中text进行预处理外,由于后续模型训练的需要,要将label数据转为float32格式。
模型构建
完成数据集的处理后,我们设计用于情感分类的模型结构。首先需要将输入文本(即序列化后的index id列表)通过查表转为向量化表示,此时需要使用nn.Embedding层加载Glove词向量;然后使用RNN循环神经网络做特征提取;最后将RNN连接至一个全连接层,即nn.Dense,将特征转化为与分类数量相同的size,用于后续进行模型优化训练。整体模型结构如下:
nn.Embedding -> nn.RNN -> nn.Dense
这里我们使用能够一定程度规避RNN梯度消失问题的变种LSTM(Long short-term memory)做特征提取层。下面对模型进行详解:
Embedding
Embedding层又可称为EmbeddingLookup层,其作用是使用index id对权重矩阵对应id的向量进行查找,当输入为一个由index id组成的序列时,则查找并返回一个相同长度的矩阵,例如:
embedding = nn.Embedding(1000, 100) # 词表大小(index的取值范围)为1000,表示向量的size为100
input shape: (1, 16) # 序列长度为16
output shape: (1, 16, 100)
这里我们使用前文处理好的Glove词向量矩阵,设置nn.Embedding的embedding_table为预训练词向量矩阵。对应的vocab_size为词表大小400002,embedding_size为选用的glove.6B.100d向量大小,即100。
RNN(循环神经网络)
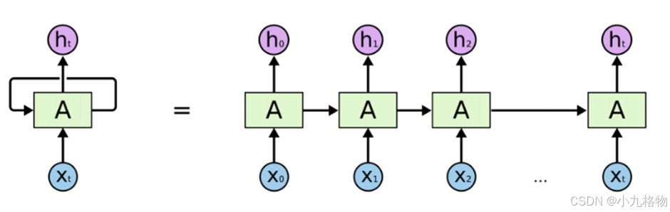
循环神经网络(Recurrent Neural Network, RNN)是一类以序列(sequence)数据为输入,在序列的演进方向进行递归(recursion)且所有节点(循环单元)按链式连接的神经网络。下图为RNN的一般结构:

图示左侧为一个RNN Cell循环,右侧为RNN的链式连接平铺。实际上不管是单个RNN Cell还是一个RNN网络,都只有一个Cell的参数,在不断进行循环计算中更新。
由于RNN的循环特性,和自然语言文本的序列特性(句子是由单词组成的序列)十分匹配,因此被大量应用于自然语言处理研究中。下图为RNN的结构拆解:

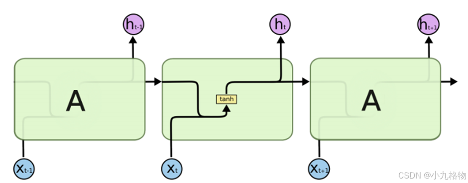
RNN单个Cell的结构简单,因此也造成了梯度消失(Gradient Vanishing)问题,具体表现为RNN网络在序列较长时,在序列尾部已经基本丢失了序列首部的信息。为了克服这一问题,LSTM(Long short-term memory)被提出,通过门控机制(Gating Mechanism)来控制信息流在每个循环步中的留存和丢弃。下图为LSTM的结构拆解:

本节我们选择LSTM变种而不是经典的RNN做特征提取,来规避梯度消失问题,并获得更好的模型效果。下面来看MindSpore中nn.LSTM对应的公式:
h0:t,(ht,ct)=LSTM(x0:t,(h0,c0))
这里nn.LSTM隐藏了整个循环神经网络在序列时间步(Time step)上的循环,送入输入序列、初始状态,即可获得每个时间步的隐状态(hidden state)拼接而成的矩阵,以及最后一个时间步对应的隐状态。我们使用最后的一个时间步的隐状态作为输入句子的编码特征,送入下一层。
Time step:在循环神经网络计算的每一次循环,成为一个Time step。在送入文本序列时,一个Time step对应一个单词。因此在本例中,LSTM的输出h0:tℎ0:𝑡对应每个单词的隐状态集合,htℎ𝑡和ct𝑐𝑡对应最后一个单词对应的隐状态。
Dense
在经过LSTM编码获取句子特征后,将其送入一个全连接层,即nn.Dense,将特征维度变换为二分类所需的维度1,经过Dense层后的输出即为模型预测结果。
损失函数与优化器
完成模型主体构建后,首先根据指定的参数实例化网络;然后选择损失函数和优化器。针对本节情感分类问题的特性,即预测Positive或Negative的二分类问题,我们选择nn.BCEWithLogitsLoss(二分类交叉熵损失函数)。
训练逻辑
在完成模型构建,进行训练逻辑的设计。一般训练逻辑分为一下步骤:
- 读取一个Batch的数据;
- 送入网络,进行正向计算和反向传播,更新权重;
- 返回loss。
下面按照此逻辑,使用tqdm库,设计训练一个epoch的函数,用于训练过程和loss的可视化。
评估指标和逻辑
训练逻辑完成后,需要对模型进行评估。即使用模型的预测结果和测试集的正确标签进行对比,求出预测的准确率。由于IMDB的情感分类为二分类问题,对预测值直接进行四舍五入即可获得分类标签(0或1),然后判断是否与正确标签相等即可。
有了准确率计算函数后,类似于训练逻辑,对评估逻辑进行设计, 分别为以下步骤:
- 读取一个Batch的数据;
- 送入网络,进行正向计算,获得预测结果;
- 计算准确率。
同训练逻辑一样,使用tqdm进行loss和过程的可视化。此外返回评估loss至供保存模型时作为模型优劣的判断依据。
模型训练与保存
前序完成了模型构建和训练、评估逻辑的设计,下面进行模型训练。这里我们设置训练轮数为5轮。同时维护一个用于保存最优模型的变量best_valid_loss,根据每一轮评估的loss值,取loss值最小的轮次,将模型进行保存。为节省用例运行时长,此处num_epochs设置为2,可根据需要自行修改。
模型加载与测试
模型训练完成后,一般需要对模型进行测试或部署上线,此时需要加载已保存的最优模型(即checkpoint),供后续测试使用。这里我们直接使用MindSpore提供的Checkpoint加载和网络权重加载接口:1.将保存的模型Checkpoint加载到内存中,2.将Checkpoint加载至模型。
自定义输入测试
最后我们设计一个预测函数,实现开头描述的效果,输入一句评价,获得评价的情感分类。具体包含以下步骤:
- 将输入句子进行分词;
- 使用词表获取对应的index id序列;
- index id序列转为Tensor;
- 送入模型获得预测结果;
- 打印输出预测结果。
2.平台实验结果







鲲鹏昇腾开发者社区是面向全社会开放的“联接全球计算开发者,聚合华为+生态”的社区,内容涵盖鲲鹏、昇腾资源,帮助开发者快速获取所需的知识、经验、软件、工具、算力,支撑开发者易学、好用、成功,成为核心开发者。
更多推荐


所有评论(0)