初学MindQuantum
变分量子线路(Parameterized Quantum Circuit, PQC)即由含参数的量子门组成的量子线路,是进行量子机器学习的途径之一。在很多情况下,为了能与经典机器学习中神经网络进行类比,我们也经常会把变分量子线路称为量子神经网络。量子-经典混合计算架构MindSpore Quantum能够处理此类变分量子线路,并利用量子神经网络的可逆性对该线路进行自动微分,最后通过测量得到的观测值
变分量子线路
变分量子线路(Parameterized Quantum Circuit, PQC)即由含参数的量子门组成的量子线路,是进行量子机器学习的途径之一。在很多情况下,为了能与经典机器学习中神经网络进行类比,我们也经常会把变分量子线路称为量子神经网络。量子-经典混合计算架构MindSpore Quantum能够处理此类变分量子线路,并利用量子神经网络的可逆性对该线路进行自动微分,最后通过测量得到的观测值,即可计算出观测值对于各参数的导数。构建PQC并用PQC模拟器算子对量子线路进行演化的大致流程如下:
Step 1 初始化量子线路;
Step 2 在量子线路中加入所需的含参量子门或者不含参量子门;
Step 3 利用PQC模拟器算子进行态演化或者梯度求解
numpy是一个功能强大的Python库,主要用于对多维数组执行计算,支持大量的维度数组与矩阵运算,此外也针对数组运算提供大量的数学函数库;
mindquantum是量子-经典混合计算框架,支持多种量子神经网络的训练和推理;
量子门
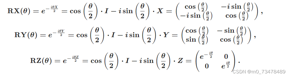
量子门可以分为含参量子门和不含参量子门。例如,不含参的量子门有X 门、Y门、Z门、Hadamard门(H门)、CNOT门


鲲鹏昇腾开发者社区是面向全社会开放的“联接全球计算开发者,聚合华为+生态”的社区,内容涵盖鲲鹏、昇腾资源,帮助开发者快速获取所需的知识、经验、软件、工具、算力,支撑开发者易学、好用、成功,成为核心开发者。
更多推荐


所有评论(0)