逻辑回归的归纳与总结
摘要:本文介绍了逻辑回归的基本概念及其二分类应用,详细阐述了算法流程,包括数据准备、预处理(缺失值处理、特征编码等)、模型训练与评估(使用混淆矩阵等指标)。同时提供了MindSpore的安装指南,强调Python 3.9+和最新Anaconda版本的要求,并给出虚拟环境配置、镜像源选择及问题解决方法。整个流程涵盖从数据处理到模型部署的关键步骤。
一、基本概念
逻辑回归是一种用于解决二分类问题的统计学习方法。
二、算法流程
1.数据准备
(1)核心目标:将原始数据转化为适合模型输入的 “干净数据”。
(2)数据来源:通过业务系统日志、公开数据集(如 Kaggle、UCI)、爬虫、实验观测等方式采集数据,需保证数据的相关性和代表性。
2.数据预处理
(1)缺失值(删除、填充)
(2)异常值(删除、修正)
(3)特征编码(如one-hot)
(4)特征缩放(标准化、唯一化)
(5)特征选择/降维
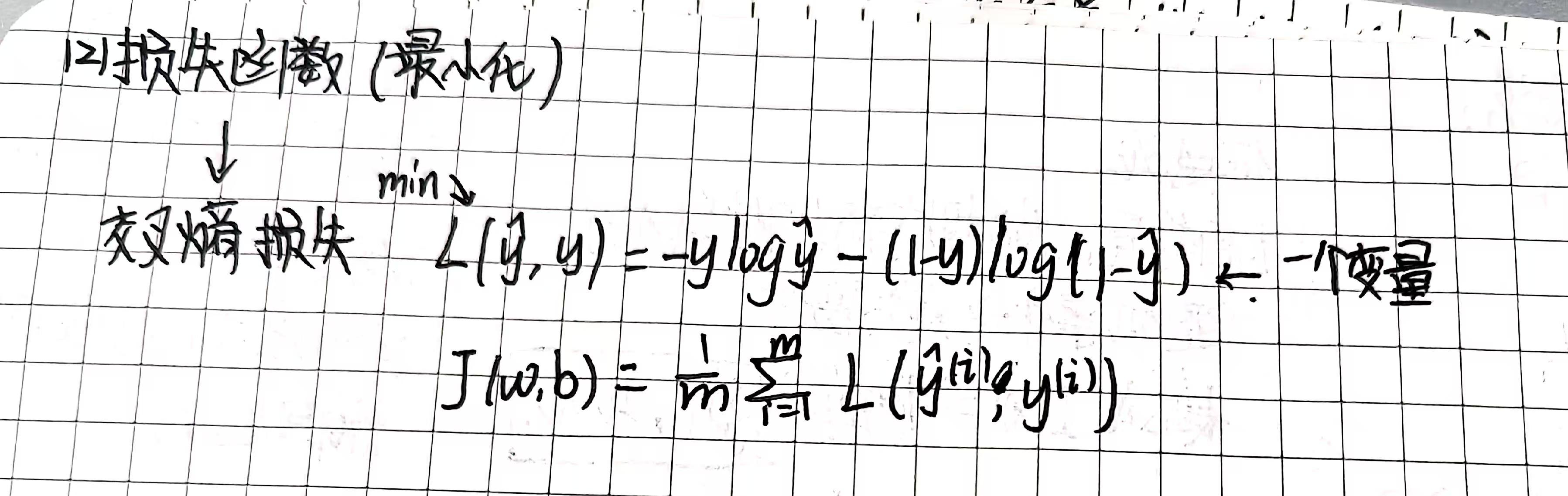
3.模型训练




4.模型评估
用测试集评估模型性能
评估指标(如混淆矩阵、准确率、召回率等)
三、MindSpore安装流程
MindSpore的安装步骤。首先,配置环境变量;然后进入Anaconda创建虚拟环境并声明Python版本3.9以上;虚拟环境创建完成后,在新创建的虚拟环境中,安装MindSpore,可以使用清华的镜像源;如果在安装的过程中出现缺少模块的问题,换用conda命令去安装conda install mindspore-cpu -c mindspore -c conda-forge ,这样大概率就没有问题了;接下来在进入jupyter之前,需要确保虚拟环境中有ipykernel包,然后需要将虚拟环境内核添加到jupyter里。
关于MindSpore的下载的问题,最重要的就是Python和Anaconda的版本问题,如Python使用版本要在3.9以上,Anaconda建议使用最新的版本。
这样就可以正常使用了。
鲲鹏昇腾开发者社区是面向全社会开放的“联接全球计算开发者,聚合华为+生态”的社区,内容涵盖鲲鹏、昇腾资源,帮助开发者快速获取所需的知识、经验、软件、工具、算力,支撑开发者易学、好用、成功,成为核心开发者。
更多推荐


所有评论(0)